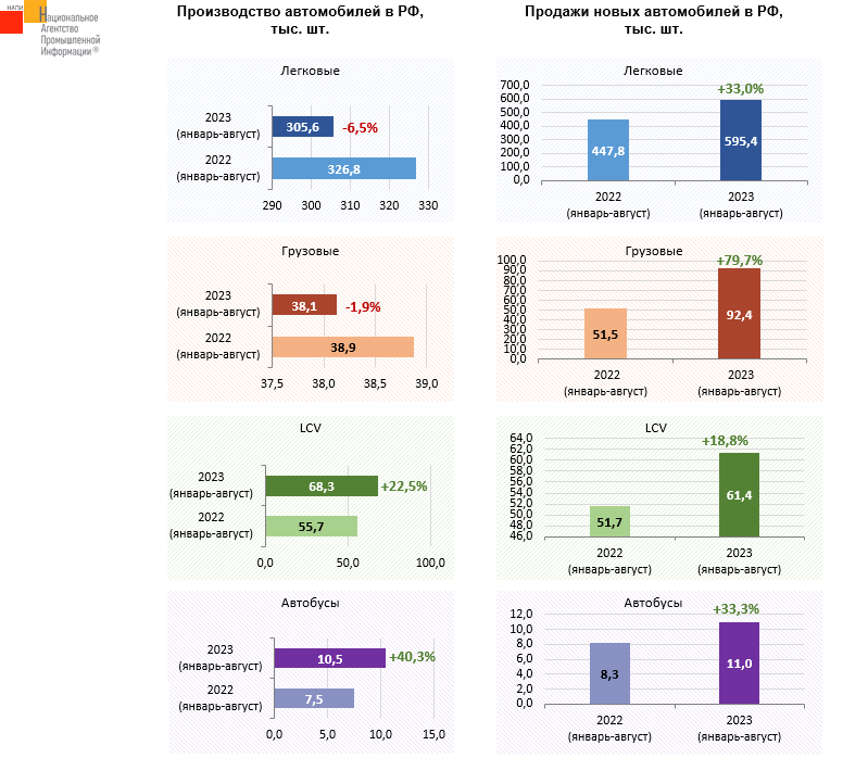
Маркетинговое агентство НАПИ проанализировало данные по производству и продажам новых автомобилей за 8 месяцев 2023 г. Рынок легковых автомобилей по сравнению с январем-августом прошлого года вырос на 33%, тогда как производство легковых автомобилей сократилось на 6,5%. Продажи новых грузовиков взлетели на 79,7%, производство же грузовой техники сократилось на 1,9%. Такая ситуация в сегментах легковых и грузовых автомобилей вызвана в первую очередь бурным ростом импорта китайской техники. В сегменте LCV и в сегменте автобусов производство росло быстрее продаж.
Источник: НАПИ (Национальное Агентство Промышленной Информации)
СКАЧАТЬ файл >>
Архив инфографики
Информация
Анализ рынка
